เนื้อหาที่เรียนฟิสิกส์ ม.4 เรียนเรื่องอะไรบ้าง?

วิเคราะห์ ฟิสิกส์ ม.4 เนื้อหาที่เรียนฟิสิกส์ ม.4 เนื้อหา ฟิสิกส์ ม.4 เรียนเรื่องอะไรบ้าง? ฟิสิกส์ ม.4

อ่านต่อ

สมบัติของจำนวนจริงและแบบฝึกหัด จํานวนจริง ม.4

สมบัติของจำนวนจริง ระบบจำนวนจริงเป็นโครงสร้างทางคณิตศาสตร์ซึ่งประกอบด้วยเซตของจำนวนจริง กับโอเปอเรชันบวกและคูณ ซึ่งสมบัติพื้นฐานของจำนวนจริงต้องอาศัยสมบัติการเท่ากันของจำนวนจริงก่อน

อ่านต่อ

เข้าใจพื้นฐานง่ายๆ เรื่องเลขยกกำลัง

เลขยกกำลัง เป็นการนำจำนวนหนึ่งมาคูณกันซ้ำๆ หลายครั้ง ซึ่งจะทำให้ได้ค่าที่มากขึ้นอย่างรวดเร็ว ส่วนประกอบหลักของเลขยกกำลัง ฐาน (base): คือจำนวนที่นำมาคูณซ้ำๆ เลขชี้กำลัง (exponent): คือจำนวนครั้งที่ฐานถูกนำมาคูณกัน ตัวอย่าง: 3³ (อ่านว่า สองยกกำลังสาม) หมายถึง 3 × 3 × 3 = 27 5² (อ่านว่า ห้ายกกำลังสอง) หมายถึง 5 × 5 = 25 ทำไมต้องเรียนรู้เลขยกกำลัง? ใช้ในชีวิตประจำวัน: เช่น การคำนวณดอกเบี้ยทบต้น, การเติบโตของประชากร หรือแม้แต่ขนาดของข้อมูลในคอมพิวเตอร์ พื้นฐานของคณิตศาสตร์ชั้นสูง: เป็นหัวใจสำคัญของพีชคณิต, เรขาคณิต, และแคลคูลัส กฎเกณฑ์ของเลขยกกำลัง การคูณเลขยกกำลังที่มีฐานเท่ากัน: ให้บวกเลขชี้กำลังเข้าด้วยกัน เช่น aᵐ × aⁿ = a^(m+n) การหารเลขยกกำลังที่มีฐานเท่ากัน: ให้ลบเลขชี้กำลัง เช่น aᵐ ÷…

อ่านต่อ

ตรรกศาสตร์เบื้องต้นและการประยุกต์

ตรรกศาสตร์ เป็นศาสตร์ที่ศึกษาเกี่ยวกับการให้เหตุผล การใช้เหตุผลในการพิสูจน์ หรือการหาข้อสรุปจากข้อมูลที่เรามี โดยมีหลักการและกฎเกณฑ์ที่ชัดเจน ทำให้เราสามารถวิเคราะห์ข้อความ เหตุผล และอาร์กิวเมนต์ต่างๆ

อ่านต่อ

เรียนคณิตศาสตร์ออนไลน์ ม.1-6 ไม่ยากแบบที่คิด

เรียนคณิตศาสตร์ออนไลน์ ม.1-6 การฝึกทำโจทย์เอง ทำได้ไม่ยาก ไปทำความเข้าใจเนื้อหาก่อน  แล้วค่อยทำโจทย์จากง่ายไปยาก

อ่านต่อ

เรียนคณิตศาสตร์ เรื่อง Set เซต ม.4 – เพาเวอร์เซต(Power Set) 

เรียนคณิตศาสตร์ เรื่อง Set เซต ม.4- เพาเวอร์เซต(Power Set) เพาว์เวอร์เซต ( power set )            ถ้า A เป็นเพาว์เวอร์เซต (Power Set) ของเซต A คือ เซตที่มีสมาชิกประกอบไปด้วยสับเซตของ A ทั้งหมด

อ่านต่อ

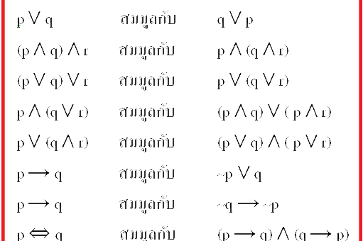
สรุป 7 สูตรตรรกศาสตร์ต้องจำสำหรับ ม.ปลาย

7 สูตรตรรกศาสตร์ ต้องจำสำหรับ ม.ปลาย ตารางค่าความจริง สิ่งที่จำเป็นสำหรับเรื่องตรรกศาสตร์น้องๆ จะต้องจำตารางค่าความจริงได้นะคะ ส่วนวิธีจำพี่บิวแนะนำให้จำแบบนี้

อ่านต่อ

สรุปย่อเรื่อง ลำดับและอนุกรม ม.ปลาย

ลำดับและอนุกรม ลำดับ สำหรับในบทลำดับและอนุกรม จะมีหัวข้อหลัก ๆ คือ 1. ลำดับ และ 2. อนุกรม ซึ่งความหมายและการใช้ประโยชน์ในทั้งสองหัวข้อนี้แตกต่างกัน และการใช้งานก็แตกต่างกันด้วย โดยในเรื่อง ลำดับและอนุกรมนี้ เป็นเรื่องที่เป็นพื้นฐานสำคัญทางคณิตศาสตร์ระดับสูง

อ่านต่อ

คณิตศาสตร์ฟรีม.ปลาย, A Level คณิต 1,2 รู้เรื่องคณิตศาสตร์ฟรี

คณิตศาสตร์ม.ปลาย, A Level คณิต 1,2  A-Level คณิตศาสตร์ประยุกต์ เป็นข้อสอบเพื่อวัดความสามารถในการประยุกต์ใช้ความรู้ทางคณิตศาสตร์ระดับชั้น ม.ปลาย

อ่านต่อ